El derrame de hidrocarburos se produce por una práctica inadecuada de la actividad petrolera que conlleva a afectar todo el ecosistema. Para este caso en particular, los hidrocarburos afectan la calidad de agua subterránea en muchos lugares del mundo, donde el más común de los problemas es la liberación de productos derivados del petróleo hacia las napas de agua (Newell et al., 1995).
El proceso de estos derrames en el suelo o agua producen múltiples transformaciones en la estructura del contaminante que está expuesto a cambios controlados principalmente por las condiciones climáticas durante y después del derrame. El destino y transporte de una fase contaminante en el subsuelo está determinado por las propiedades del líquido (densidad, viscosidad, tensión interfacial, solubilidad), las características geológicas del medio (porosidad, permeabilidad, densidad aparente) o de ambos (presión capilar, permeabilidad relativa, humectabilidad, saturación residual y tamaño de poros, entre otras).
La evaluación de la contaminación y la remediación deben ser analizadas a partir de modelos matemáticos los cuales permiten analizar distintos escenarios de comportamiento y calidad del agua subterránea. (Flores y col., 2001). Los modelos pueden ser herramientas poderosas para ayudar a la interpretación de datos y para predecir el destino de contaminantes, como en el caso de los hidrocarburos de petróleo en ambientes de aguas subterráneas.
El presente artículo está enfocado a brindar información acerca de los procesos de transporte de contaminantes derivados del petróleo en el agua subterránea: la advección, dispersión, disolución del líquido de fase libre no acuosa (NAPL) y  también elaborar una síntesis de información de los datos necesarios para el desarrollo de un modelo de transporte de contaminantes desarrollado con variedad de solucionadores.
Acerca de hidrocarburos
Líquidos de fase no acuosa (NAPL)
Son los hidrocarburos inmiscibles en el subsuelo que pueden disolverse en el agua a velocidades muy lentas. Se caracterizan por ser más ligeros que el agua (LNAPL) o más densos que el agua (DNAPL). Su migración está regida por la gravedad, fuerzas capilares y textura del suelo.
Los procesos más importantes que afectan el destino de los compuestos orgánicos en las aguas subterráneas son (Barry et al., 2002):
Disolución de la fase NAPL en el agua subterránea.
Transporte advectivo.
Transporte dispersivo.
Sorción al material del acuífero.
La importancia de estos procesos varía mucho desde el inicio de la contaminación del agua subterránea hasta la desaparición completa del contaminante. En la siguiente figura se observan las principales etapas si no se realiza una remediación activa del agua subterránea (los tonos oscuros indican altas concentraciones):
Esquema del desarrollo de la pluma contaminante en el agua subterránea (Barry et al., 2002):
Disolución de los Líquidos de fase no acuosa (NAPL)
La propagación del contaminante a través de un medio poroso está constituido en como el contaminante migra hacia abajo a través de la zona no saturada hasta llegar a la zona capilar por efecto de la gravedad. En esta zona la movilidad disminuye a medida que aumenta la saturación del agua, debido a que los hidrocarburos de petróleo son menos densos que el agua, provocando una pluma del NAPL. Bajo este contexto, la disolución de compuestos NAPL actúa como una fuente de contaminación continua para el agua subterránea (Miller et al., 1990).
La velocidad del transporte de la masa del NAPL a la fase acuosa es una función principalmente de la extensión y morfología de la fuente (en particular, el área de la sección transversal máxima perpendicular a la dirección principal del flujo de agua subterránea), velocidad del flujo de agua subterránea, solubilidad de compuestos de hidrocarburos individuales y composición de la fuente NAPL.
Procesos físicos que controlan el flujo
Una vez que los compuestos de hidrocarburos se han disuelto en la fase acuosa, están sujetos procesos físicos que controlan el flujo como la Advección y Dispersión, que se detallan a continuación:
La advección describe el transporte de una especie disuelta transportada a la misma velocidad media que el agua subterránea, que es el proceso físico dominante en la mayoría de los problemas de contaminación dentro de la zona de agua subterránea saturada.
La dispersión representa dos procesos, dispersión mecánica y difusión molecular efectiva. La dispersión mecánica es provocada por el movimiento del fluido a través del medio poroso por ello se produce en el sentido del flujo (longitudinal). La difusión molecular es causada por el movimiento aleatorio del fluido y suele ser insignificante en comparación con la dispersión mecánica (Bear y Verruijt, 1987).
Aspectos de modelamiento numérico
Las simulaciones numéricas de derrame de hidrocarburos requiere la interpretación de procesos físicos, químicos y biológicos, los cuales pueden variar en complejidad según sea el caso de estudio, formulaciones complejas implicarán mayor cantidad de especies químicas y diferentes procesos de degradación biológica, lo cual conlleva a un mayor requerimiento computacional.
La base para los modelos de transporte de hidrocarburos son los modelos de flujo, estos principalmente ayudan a conocer los balances de masa entre las condiciones de borde y la dirección de flujo, por lo tanto, una caracterización previa de la zona de estudio es el pilar para el posterior modelamiento de especies como lo son los hidrocarburos, uno de los mayores solucionadores usados es MODFLOW, el cuál es de código libre y muchos de los solucionadores relacionados a contaminantes lo usan como base.
Los tipos de modelos que se realizan están limitados a la cantidad de información disponible y a los objetivos a lograr, entre ellas se encuentran las simulaciones no reactivas, las que conllevan biodegradación y las que conllevan procesos biogeoquímicos; todos ellos basados principalmente en el modelo de flujo y posterior balance de masa.
Las simulaciones no reactivas tienen como fundamento la advección y dispersión, requiere de información observada de la concentración de la especie para calibrar las dispersiones transversales del acuífero, dicho parámetro es el de mayor influencia en la longitud de la pluma formada.
Las simulaciones que impliquen biodegradación extienda las capacidades de las simulaciones no reactivas incluyendo la reacción entre especies, no es estándar debido a que los usuarios pueden modificar las reacciones según los objetivos de su simulación.
Las simulaciones biogeoquímicas extienden las capacidades de las simulaciones con biodegradación incluyendo reacciones geoquímicas, en las que la simulación no se hace por especies, si no, como una solución acuosa completa.
Paquetes de modelamiento numérico
Los paquetes de modelamiento numérico relacionados a hidrocarburos están separados en función del objetivo de simulación.
Entre los solucionadores de transporte no reactivo se tiene a MT3D (Zheng, 1990), el cual sirvió como base para el continuo desarrollo de una serie de solucionadores, entre los cuales se reconoce a MT3DMS, este último fue acoplado con el paquete de Fuente de Derrame de Hidrocarburos (HSS), el cual simula NAPL ligeros (LNAPL) a través de la zona no saturada formando lentes de hidrocarburo en la napa freática, determina también la tasa de masa del contaminante disuelto al agua subterránea.
Esquema general de la simulación de LNAPL (Zheng, & Wang, 1999)
Los solucionadores que involucran biodegradación se encuentran solucionadores no tan como MT3D99 (SSPA, 1999), RT3D (Clement, 1997) y el más reciente MT3D-USGS (USGS, 2019), entre ellos RT3D es ampliamente usado para las reacciones que incluyan el transporte de hidrocarburos disueltos, hidrocarburos adsorbidos, oxígeno disuelto y biodegradación con bacterias, MT3D-USGS implementa HSS a través de paquetes de flujo y transporte en la zona no saturada, además, implementa reacciones químicas entre especies diferentes a hidrocarburos.
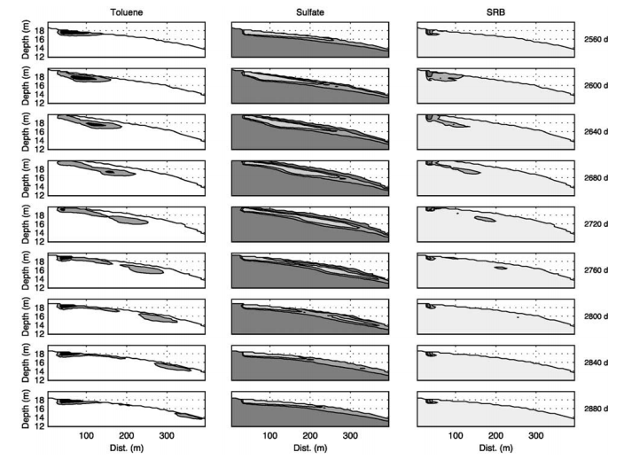
Entre los solucionadores que impliquen simulaciones biogeoquímicas, se encuentran PHAST (Parkhurst et al., 1995) y PHT3D (Prommer et al., 2002 - 2003). PHAST es mantenido por la USGS y acopla la simulación geoquímica a través de PHREEQC, puede ser aplicado a variedad de casos de estudio debido a su amplia gama de características, de igual manera que PHAST, PHT3D incorpora PHREEQC, el cuál es acoplado a MT3DMS. PHT3D cuenta con mayor cantidad de aplicaciones relacionadas con hidrocarburos, y en la que se presentan diferentes reacciones oxidantes y reductoras, incluyendo la relación de bacterias.
Simulación transiente con especies de tolueno, sulfato y bacterias sulfato reductora (H Prommer et al., 2002)
Datos de entrada para el modelamiento numérico
Las entradas para este tipo de simulaciones varían de forma directa con la complejidad y el tipo de simulación, para realizar este tipo de simulaciones es importante tener una caracterización adecuada del flujo de agua subterránea en la zona de estudio con muestreos de las condiciones previas antes del derrame, en especial de las especies de interés, esto permite conocer la situación previa de la zona contaminada y evaluar los niveles de afectación, para ello es importante tener la siguiente información:
Modelo numérico de agua subterránea
Caracterización de las dimensiones y propiedades del acuífero
Reconocimiento de las condiciones de borde influyentes y los límites del modelo
La tasa de infiltración del contaminante, independiente a la velocidad de flujo de agua subterránea
Caracterización completa del contaminante
Contenido inicial de agua en la zona no saturada
Pozos de observación del nivel del agua subterránea y de la concentración del contaminante
Referencias
Barry DA, Prommer H, Miller CT, Engesgaard P, Brun A, Zheng C (2002) Modelling the fate of oxidisable organic contaminants in groundwater. Adv. Water. Resour. 25, 899-937.
Bear J, Verruijt A (1987) Modeling Groundwater Flow and Pollution. D. Reidel Publishing Co
Flores, N. y col. Utilización de lodos residuales en la restauración de suelos contaminados con hidrocarburos. VI Congreso Nacional de Ciencias Ambientales, Pachuca; México, 2001.
H. Prommer, G.B. Davis, D.A. Barry and C.T (2003). Miller. Modelling the Fate of Petroleum Hydrocarbons in Groundwater.
Newell, C., Acree, S. y Ross, R. (1995). Light nonaqueous phase liquids. EPA, Office of Research and Development, EPA/540/S-95/500.
Miller CT, Poirier-McNeill MM and Mayer AS (1990) Dissolution of trapped nonaqueous phase liquids: Mass transfer characteristics. Water Resour. Res. 26, 2783-2796.
Gidahatari (2013) . Procesos de remediación de agua subterránea en ambientes de baja permeabilidad.
Bedekar, Vivek, Morway, E.D., Langevin, C.D., and Tonkin, Matt (2016) MT3D-USGS version 1: A U.S. Geological Survey release of MT3DMS updated with new and expanded transport capabilities for use with MODFLOW:
U.S. Geological Survey Techniques and Methods 6-A53, 69 p., http://dx.doi.org/10.3133/tm6A53.
Parkhurst, D.L., Kipp, K.L., and Charlton, S.R. (2010) PHAST Version 2—A program for simulating groundwater flow, solute transport, and multicomponent geochemical reactions: U.S. Geological Survey Techniques and Methods 6–A35, 235 p.
Prommer, H, Barry, D. A., & Davis, G. B. (2002). Modelling of physical and reactive processes during biodegradation of a hydrocarbon plume under transient groundwater flow conditions. Journal of Contaminant Hydrology, 59(1), 113-131. https://doi.org/10.1016/S0169-7722(02)00078-5
Prommer, Henning, & Post, V. (2010). PHT3D - A Reactive Multicomponent Transport Model for Saturated Porous Media.
Zheng, C., & Wang, P. (1999). MT3DMS: A Modular Three Dimensional Multispecies Transport Model for Simulation of Advection, Dispersion, and Chemical Reactions of Contaminants in Groundwater Systems; Documentation and User’s Guide.
